Sinomer® BMPT

中文 ENGLISH Русский Français Español عربي Türkçe
banner

Sinomer® BMPT

Характерный мономер, соединения политиол/полимеркаптан/тиол, функциональные мономеры Sinomer®.

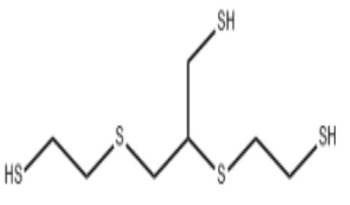
SINOMER® BMPT, химическое название: 2,3-бис((2-меркаптоэтил)тио)-1-пропантиол; 1,2-бис[(2-меркаптоэтил)тио]-3-меркаптопропан; это политиоловый мономер, широко используемый в УФ-покрытиях, клеях и оптических линзах.

Для получения более подробной информации о нашей продукции на основе политиола, пожалуйста, перейдите по ссылке: Лучший отвердитель эпоксидных смол для низкотемпературного и быстрого отверждения/полимеркаптан/


Поделиться

SINOMER® BMPT


Номер CAS: 131538-00-6

Химическое название:

2,3-бис((2-меркаптоэтил)тио)-1-пропантиол; 1,2-бис[(2-меркаптоэтил)тио]-3-меркаптопропан

Синонимы: THIOCURE DMPT; Polythiol DMPT; Mercaptan DMPT; Polymercaptan

Молекулярная структура:


Стандарт :
ПоявлениеБесцветная прозрачная жидкость
Показатель преломления ,20ND1.6300~1.6350
Содержание воды, ppm≤500
Цвет АФА≤8


Функции :

• Высокий показатель преломления, высокая четкость, высокое значение коэффициента Аббе и высокая ударопрочность
• Сверхлегкий и тонкий, обладает хорошими красящими свойствами и подходит для проектирования прецизионных прогрессивных линз

Приложения :
  • 1.67 HRI мономер линзы очков

  • оптический линзовый элемент HRI

  • Высокоточный оптический УФ-клей для линз

Другие продукты, связанные с политиолом/полимеркаптаном :
Название продуктаДело №Химическое названиеСинонимы/Применение
▶Синомер® ПЭТМП7575-23-7Пента-эритрит тетракис (3-меркаптопропионат)ТИОКУР ПЕТМП;


ПЭТ-3-МП; Тетра (3-меркаптопропионат)

▶Синомер® BMES3570-55-6Бис(2-меркаптоэтил)сульфид;


Димеркаптодиэтилсульфид;

2,2′-Тиодиэтанэтиол;

ТИОКУР ДМДС;


Политиол ДМДС

▶Синомер® БМПТ131538-00-62,3-бис((2-меркаптоэтил)тио)-1-пропантиолТИОКУР ДМПТ;


Политиол ДМПТ

▶Синомер® PM83972244-98-5Поли[окси(метил-1,2-этандиил)],.альфа.-гидро-.омега.-гидрокси-, эфир с 2,2-бис(гидроксиметил)-1,3-пропандиолом (4:1), 2-гидрокси-3-меркаптопропиловый эфирОтвердитель эпоксидной смолы, Capcure 3-800;


GABEPRO GPM-800;

Политиол QE-340M;

Тиокуре 1200

▶Синомер® ТМПМП33007-83-9Триметилолпропан Трис(3-меркаптопропионат)/
▶Sinomer®OM835
188829-97-2Бис(тииран-2-илметил)сульфан; 1,1′-Тиобис(2,3-эпитиопропан); Бис(2,3-этилпропил)сульфидоптический мономер с высоким показателем преломления
▶Синомер® OM26539667-72-62-Пропеновая кислота, 2-(2-бензотиазолилтио)этиловый эфир; (2-(2-бензотиазолилтио)этил)акрилат; MBTAоптический мономер с высоким показателем преломления 
▶Sinomer® OM258 97049-32-02-Нафталенилтиоэтилакрилат; 2-пропеновая кислота 2-(2-нафталенилтио)этиловый эфир; НТЭАоптический мономер с высоким показателем преломления 
▶Синомер® OM386129283-82-5Бис(4-метакрилоилтиофенил)сульфид; 4,4'-тиодибензендитиол диметакрилатоптический мономер с высоким показателем преломления
▶Синомер® ПЕТМА10193-99-4Пента-эритрит тетракис (2-меркаптоацетат)связующий агент
▶Синомер® EGDMP22504-50-3Бис(3-меркаптопропионат) этиленгликолясшивающий агент, отвердитель
▶Sinomer® GDMA123-81-9Гликолдимеркаптоацетат; Этиленди(S-тиоацетат)Термостабилизатор ПВХ 
▶Синомер® ЭГМП50448-95-82-Этилгексил-3-меркаптопропионат Серооловянный стабилизатор
▶Sinomer® GMT8030618-84-9Глицерил монотиогликолатежедневный химический


Упаковка :
  • Упаковка: 30 кг/бочка или 250 кг/бочка 

  • Доставка: в течение 5-7 рабочих дней.


Хранилище :

Хранить в сухом, чистом складском помещении с хорошей вентиляцией.

Избегайте воздействия света и тепла.

Защита изделия от протечек, дождя и прямых солнечных лучей во время транспортировки.


Чем мы можем помочь?

Мы предлагаем широкий выбор вариантов, чтобы помочь вам найти подходящий продукт для ваших задач.

Почему стоит выбрать Sinocure?

  • Разработка по индивидуальному заказу

    Оказание поддержки в оптимизации рецептур для систем на водной/растворительной основе.

  • Глобальное соответствие

    Полное соответствие стандартам REACH, FDA и GB.

  • Стабильные поставки

    99,8% показатель своевременной доставки, гарантированная производственная мощность 10 000 тонн.

+86 15550440621
+8615668330235
info@sinocurechem.com
Ваш эксперт по разработке рецептур:
От мономера до полимера мы анализируем все возможные варианты!
©2025 Sinocure Chemical Group Все права защищены. CNZZ