SINOMER GPTA

中文 ENGLISH Русский Français Español عربي Türkçe
banner

Sinomer® GPTA (Reach √)

Покрытый трифункциональный мономер, глицерилпропокситриакрилат, мономер GPTA, альтернатива Sartomer 9020

Sinomer® GPTA (G3POTA) используется в широком спектре энергоотверждаемых печатных красок, лаков для печати, покрытий и клеев.

Свойства:

Быстрое отверждение

Хорошая химическая стойкость

Хорошая твёрдость

Хорошие смачивающие свойства


Поделиться

SINOMER® GPTA (охватывается REACH)

Номер дела: 52408-84-1

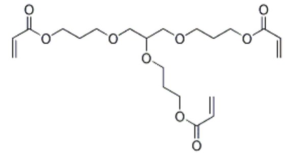
Химическое название: ГЛИЦЕРИЛПРОПОКСИТРИАКРИЛАТ

Синонимы: Ebecryl 53;Setalux 2250;Sartomer 9020;gpta-мономер;AgiSyn 2837;G3POTA Пропоксилированный глицеринтриакрилат;3-[2,3-бис(3-проп-2-еноилоксипропокси)пропокси]пропилпроп-2-еноат

Молекулярная структура:



Стандарт :
Функциональность3
ПоявлениеПрозрачная жидкость
Ингибитор полимеризации, ppm≤400 MEHQ
Влажность, мас.%0,2
Кислотное число, мгКОН/г-0,5
Цвет, APHA100
Плотность, 25℃1.08~1.11
Вязкость, сПз.25℃70~110
Показатель преломления1.461
Поверхностное натяжение, дин/см36.1
Tg,℃18


Приложение :

Покрытия для дерева, покрытия из ПВХ, покрытия из пластика, покрытия из металла, офсетные печатные краски, флексографическая печать, трафаретная печать, лаки, клеи.

Packaging and Shipping :

● Упаковка: бочка 25 кг или бочка 200 кг 

● Доставка: в течение 5-7 рабочих дней.


Хранилище :

Хранить в сухом, чистом складе с хорошей вентиляцией.

Избегать воздействия света и тепла.

Защита продукта от протечек, дождя и инсоляции во время транспортировки.

Чем мы можем помочь?

Мы предлагаем широкий выбор вариантов, чтобы помочь вам найти подходящий продукт для ваших задач.

Почему стоит выбрать Sinocure?

  • Разработка по индивидуальному заказу

    Оказание поддержки в оптимизации рецептур для систем на водной/растворительной основе.

  • Глобальное соответствие

    Полное соответствие стандартам REACH, FDA и GB.

  • Стабильные поставки

    99,8% показатель своевременной доставки, гарантированная производственная мощность 10 000 тонн.

+86 15550440621
+8615668330235
info@sinocurechem.com
Ваш эксперт по разработке рецептур:
От мономера до полимера мы анализируем все возможные варианты!
©2025 Sinocure Chemical Group Все права защищены. CNZZ