Sinophor® APC

中文 ENGLISH Русский Français Español عربي Türkçe
banner

Sinophor® APC

Флуоресцентный отбеливатель Sinophor®

Sinophor® APC особенно подходит для отбеливания и придания яркости трикотажным хлопчатобумажным тканям. В состав FBA220 входит множество водорастворимых групп, что обеспечивает не только хорошую растворимость в воде, но и высокую устойчивость к поту и воздействию кислот. Даже при pH 3-4 он сохраняет хороший отбеливающий эффект на целлюлозных волокнах.

Поскольку отбеливатель жидкий, его легче растворить, чем порошкообразный, и он не образует пыли. Достаточно лишь отмерить необходимое количество в соответствии с требуемой степенью белизны и разбавить водой в любой пропорции.


Поделиться

SINOPHOR® APC


● Синонимы: Флуоресцентный отбеливатель 220; Флуоресцентный отбеливатель APC; FBA220; ОПТИЧЕСКИЙ ОСВЕТИТЕЛЬ 220

● Номер дела:  16470-24-9

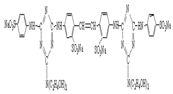
● Структура:


Спецификация :
ПредметыСтандартный
ПоявлениеЯнтарная прозрачная жидкость
Интенсивность флуоресценции (эквивалентно стандартному продукту)35
Белизна WCIE≥0
Вязкость (25℃), мПа·с≤ 50
значение pH8-10
Плотность, г/см31.1-1.2
ИонностьАнион


Приложение :

1. Флуоресцентное отбеливание осуществляется в пульпе.
2. Флуоресцентное отбеливание осуществляется при поверхностной проклейке.
3. Флуоресцентное отбеливание осуществляется в процессе нанесения покрытия.

Инструкции :

1. Его можно добавлять непосредственно в кашицу. Обычная дозировка: 0,05–1,2% (в расчете на абсолютно сухую кашицу).
2. Его можно использовать вместе с широко используемыми крахмалом, КМЦ и ПВА для поверхностной проклейки для достижения лучшего отбеливающего эффекта. Обычная дозировка: 0,5–10 г/л.
3. В процессе нанесения покрытия его можно добавлять в любую точку. Наилучшие результаты достигаются при использовании с ПВА, КМЦ и крахмалом. Обычная дозировка: 0,1–1,4% (от веса покрытия).

Упаковка :

● Пластиковый барабан 50 кг, 200 кг, 220 кг

Хранилище :

Хранить в сухом прохладном месте, защищенном от прямых солнечных лучей.

Чем мы можем помочь?

Мы предлагаем широкий выбор вариантов, чтобы помочь вам найти подходящий продукт для ваших задач.

Почему стоит выбрать Sinocure?

  • Разработка по индивидуальному заказу

    Оказание поддержки в оптимизации рецептур для систем на водной/растворительной основе.

  • Глобальное соответствие

    Полное соответствие стандартам REACH, FDA и GB.

  • Стабильные поставки

    99,8% показатель своевременной доставки, гарантированная производственная мощность 10 000 тонн.

+86 15550440621
+8615668330235
info@sinocurechem.com
Ваш эксперт по разработке рецептур:
От мономера до полимера мы анализируем все возможные варианты!
©2025 Sinocure Chemical Group Все права защищены. CNZZ