SINOMER GPTA-3.5B

中文 ENGLISH Русский Français Español عربي Türkçe
banner

Sinomer® GPTA-3.5B

Трифункциональный мономер, биооснованный мономер GPTA, устойчивая УФ-смола

Sinomer® GPTA-3.5B (G3.5POTA) используется в широком спектре энергоотверждаемых печатных красок, лаков для печати, покрытий и клеев. В отличие от обычного GPTA, сырье для GPTA-3.5B – пропоксилированный глицерин – имеет биологическое происхождение.

Свойства:

Быстрое отверждение

Хорошая химическая стойкость

Хорошая твёрдость

Хорошие смачивающие свойства


Поделиться

SINOMER® GPTA-3.5B

Синоним:   глицерилпропокситриакрилат

Номер CAS:   52408-84-1

Молекулярная формула:   C21H32O9

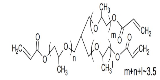
Молекулярная структура:




Общая информация :

Sinomer® GPTA-3.5B (G3.5POTA) — это УФ-мономер на биологической основе, обладающий такими характеристиками, как низкая вязкость, низкое раздражение, низкая летучесть, высокая реакционная способность, быстрая скорость отверждения и хорошая устойчивость к царапинам.

Технические характеристики :
Функциональность3
ПоявлениеПрозрачная жидкость
Ингибитор полимеризации, ppm200~500 MEHQ
Влажность, мас.%≤0,1
Кислотное число, мгКОН/г-≤0,5
Цвет, APHA≤50
Плотность, 25℃1.08~1.11
Вязкость, сПз.25℃70~100
Показатель преломления1.461
Поверхностное натяжение, дин/см32.2


Использование :

Покрытия для дерева, покрытия из ПВХ, покрытия из пластика, покрытия из металла, офсетные печатные краски, флексографическая печать, трафаретная печать, лаки, клеи.

Хранилище :

Хранить в сухом, чистом складе с хорошей вентиляцией.

Избегать воздействия света и тепла.

Защита продукта от протечек, дождя и инсоляции во время транспортировки.


Чем мы можем помочь?

Мы предлагаем широкий выбор вариантов, чтобы помочь вам найти подходящий продукт для ваших задач.

Почему стоит выбрать Sinocure?

  • Разработка по индивидуальному заказу

    Оказание поддержки в оптимизации рецептур для систем на водной/растворительной основе.

  • Глобальное соответствие

    Полное соответствие стандартам REACH, FDA и GB.

  • Стабильные поставки

    99,8% показатель своевременной доставки, гарантированная производственная мощность 10 000 тонн.

+86 15550440621
+8615668330235
info@sinocurechem.com
Ваш эксперт по разработке рецептур:
От мономера до полимера мы анализируем все возможные варианты!
©2025 Sinocure Chemical Group Все права защищены. CNZZ