Sinomer® IBOMA

中文 ENGLISH Русский Français Español عربي Türkçe
banner

Sinomer® IBOMA

Биооснованный мономер, монофункциональный мономер

Синомер® IBOMA подходит для производства высокотемпературных термопластичных акриловых смол. Его продукция обладает высокой твердостью, высокой устойчивостью к спирту и высоким температурам, а также хорошей гибкостью, адгезией, влагостойкостью и атмосферостойкостью. Это новый тип акрилатного мономера со специальной структурой. Он подходит для производства пленочных покрытий для мягких пластиков, таких как ПЭТ, ПЭ, ПП и др., а также декоративных защитных покрытий для ПЭ, ПП, ПК и других конструкционных пластиков.

Поделиться

SINOMER® IBOMA

Номер дела: 7534-94-3

Химическое название: изоборнилметакрилат

Синонимы: Ageflex IBOMA; IBOMA Monomer; Eternal EM 90; IBXMA; Light Ester IB-X; Sartomer SR 423; Sipomer IBOMA 1,7,7-триметилбицикло[2.2.1]гепт-2-илметакрилат; 2-метил-,1,7,7-триметилбицикло(2.2.1)гепт-2-илэстер, экзо-2-пропеновая кислота

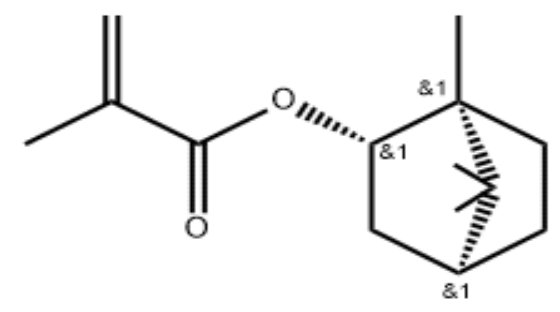
Молекулярная структура:

Стандарт :
ХарактерныйИБОМ
ПоявлениеПрозрачный
Формульный вес222
Плотность, г/мл0,985
Показатель преломления (25℃)1.4750
Вязкость (мПа·с)10~15
Температура вспышки в закрытом состоянии℃119
Температура стеклования (Tg) ℃170


Приложение :

Применение SINOMER® IBOMA в высококонцентрированной акриловой смоле.

При составлении рецептуры акриловой смолы добавление сложноэфирного мономера метакриловой кислоты (например, IBOMA) может эффективно снизить вязкость полимерного раствора, сохраняя при этом температуру стеклования, молекулярную массу и функциональные группы постоянными. Среди всех типов кольцевых мономеров эффект снижения вязкости, достигаемый с помощью IBOMA, наиболее выражен.

ИБОМА — это мономер, сочетающий в себе твердость и гибкость. Благодаря своей молекулярной структуре полимер ИБОМА обладает превосходными светоотражающими свойствами, износостойкостью, средней стойкостью и атмосферостойкостью, а его гигроскопичность ниже, чем у ММА (метилметакрилата). Кроме того, акриловая смола с ИБОМА обладает хорошей совместимостью с полиэфирами, алкидными смолами и многими летучими пленкообразующими веществами для лакокрасочных покрытий.

При использовании IBOMA в порошковых покрытиях его сополимер может улучшить агломерацию порошка, повысить стабильность порошковых покрытий и снизить вязкость плавления, тем самым улучшая выравнивание покрытий, а также внешний вид и блеск покрытий.


Упаковка :

● Упаковка: 25 кг/бочка или 200 кг/бочка 

● Доставка: в течение 5-7 рабочих дней.


Хранилище :

Хранить в сухом, чистом складском помещении с хорошей вентиляцией.

Избегайте воздействия света и тепла.

Защита изделия от протечек, дождя и прямых солнечных лучей во время транспортировки.


Чем мы можем помочь?

Мы предлагаем широкий выбор вариантов, чтобы помочь вам найти подходящий продукт для ваших задач.

Почему стоит выбрать Sinocure?

  • Разработка по индивидуальному заказу

    Оказание поддержки в оптимизации рецептур для систем на водной/растворительной основе.

  • Глобальное соответствие

    Полное соответствие стандартам REACH, FDA и GB.

  • Стабильные поставки

    99,8% показатель своевременной доставки, гарантированная производственная мощность 10 000 тонн.

+86 15550440621
+8615668330235
info@sinocurechem.com
Ваш эксперт по разработке рецептур:
От мономера до полимера мы анализируем все возможные варианты!
©2025 Sinocure Chemical Group Все права защищены. CNZZ